With the increasing threat of industrialization and pollution, a group of scientists says melanin is playing an important role in evolution. Turtle-headed Sea Snake (Emydocephalus annulatus) [Figure 1] is commonly found in the waters of Oceania near Australia and some Pacific Islands such as Philippines and the Loyalty Islands of New Caledonia. The geographical habitat of this kind is sporadic.

Figure 1:
Turtle-headed Sea Snake | Photo Courtesy: Claire Goiran
In an Article named "Industrial Melanism In The Seasnake Emydocephalus annulatus"[1] by Claire Goiran, Paco Bustamante and Richard Shine, they have told that "In the seasnake Emydocephalus annulatus, melanism is more frequent in urban-industrial sites than in less polluted locations. Melanic snakes slough more often than banded conspecifics, and sloughing eliminates more trace elements from darker skin than from lighter skin. In combination, these results suggest that industrial melanism enhances a seasnake’s ability to dispose of trace elements." [Figure 2]

Figure 2:
(A) Emydocephalus annulatus (melanic specimen sloughing).
(B) Melanic and banded E. annulatus from a peri-urban population near Noumea.
(C) Frequencies of melanism in snakes from urban-industrial
sites versus other areas.
Reports have shown that concentration of these trace elements during sloughing is higher than most previous records of marine reptiles including sea snakes and fishes which can cause health problems in mammals and birds. High trace-element concentrations in sloughs of sea kraits and sea snakes from close to a river-mouth (but far from urban-industrial activity) suggest that melanism may benefit sea snakes in many areas. However, radiotracer studies on other aquatic species suggest that feeding is the primary pathway for uptake of trace elements in invertebrates, fish, seabirds and cetaceans.
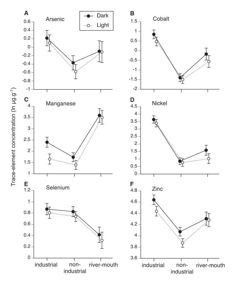
Trace elements are the most important chemical elements but required in a very low concentration for growth and other physiological purpose in Organisms. Industrial activities like mining, etc increases the concentration of these trace elements in nature as well as in soil and water. New Caledonia’s rich mineral deposits create high levels of trace-element contamination, further aggravated by mining activities. [Figure 3]

Figure 3:
Some sites were close to urban-industrial areas, some were non-industrial, and one site was near the mouth of a major river that carried signi?cant
volumes of sediment. The panels show data (mean ± SE) for levels of trace elements in lightand dark-colored rings of sloughs from sea kraits from each type of site.
(A) Arsenic, (B) Cobalt, (C) Manganese, (D) Nickel, (E) Selenium, (F) Zinc
Melanin is a kind of natural Pigments found in most Organisms. Synthesis of Melanin is directly proportional to the high level of trace element. On the other hand, higher level of body melanin binds with trace elements and enhances their absorption. Thus the relation between increasing level of Melanin and higher amount of trace element is directly proportional.
It is said that melanism in terrestrial snakes is more often linked to occupancy of the cool climates. But in case of aquatic snakes, thermal advantages of melanism does not apply here. Although The Turtle Headed Snakes (Emydocephalus annulatus), featured with dark and light bands over the body are found across a wide geographic range, most individuals found in the polluted inshore bays of the Pacific island of New Caledonia is melanic. [Figure 2] Now science has its explanation.
It has been seen that with the same slough level, concentration of trace elements in darker bands are higher than the lighter. Like bird melanin rich surface of the animal accumulates trace elements much higher than the other, hence sloughing reduces the trace-element load faster in melanic snakes than in paler conspecifics. They have also written that "The melanic morph appears to be a derived trait in E. annulatus, but the number of independent evolutionary increases in the frequency of melanism is unclear. A single origin may have been involved, as in peppered moths, but occasional melanism is geographically widespread in E. annulatus."
In summary from the article, melanism has evolved under diverse selective advantages. Intriguingly, the seasnakes they had studied in the Indo-Pacific exhibit the same correlation as seen in insects and pigeons in European cities: melanism is more common in urban-industrial environments. However, the selective advantages underlying that common pattern may involve antipredator camouflage and physiological benefits in insects versus trace-element excretion in pigeons and seasnakes.
Reference:
[1] - Industrial Melanism In The Seasnake Emydocephalus annulatus